Create A Country Name

Build An Amazing Application Using React And Node Together

1 Welcome To Core Maintenance

Country Code Conversion Plugin Sales Territory Management

When Item Is Created In Sharepoint Survey Create

Step 3 Country Distribution

Create Your Own Country And Commandments Country Name Flag

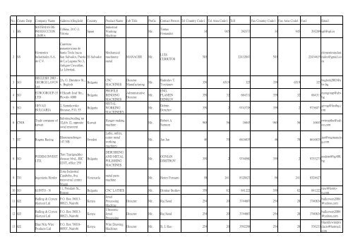
No Create Detp Company Name Address1 English Country

Countries In South America Printable Flags Capital Cities Locations

10 14 11 Countries

Create Your Own Country Project Name
Tidak ada komentar untuk "Create A Country Name"
Posting Komentar